网站首页
至信集团
招募合伙人
主营业务
集团子公司
新闻资讯
OA
至信云库
通知栏
DeepSeek
通知栏
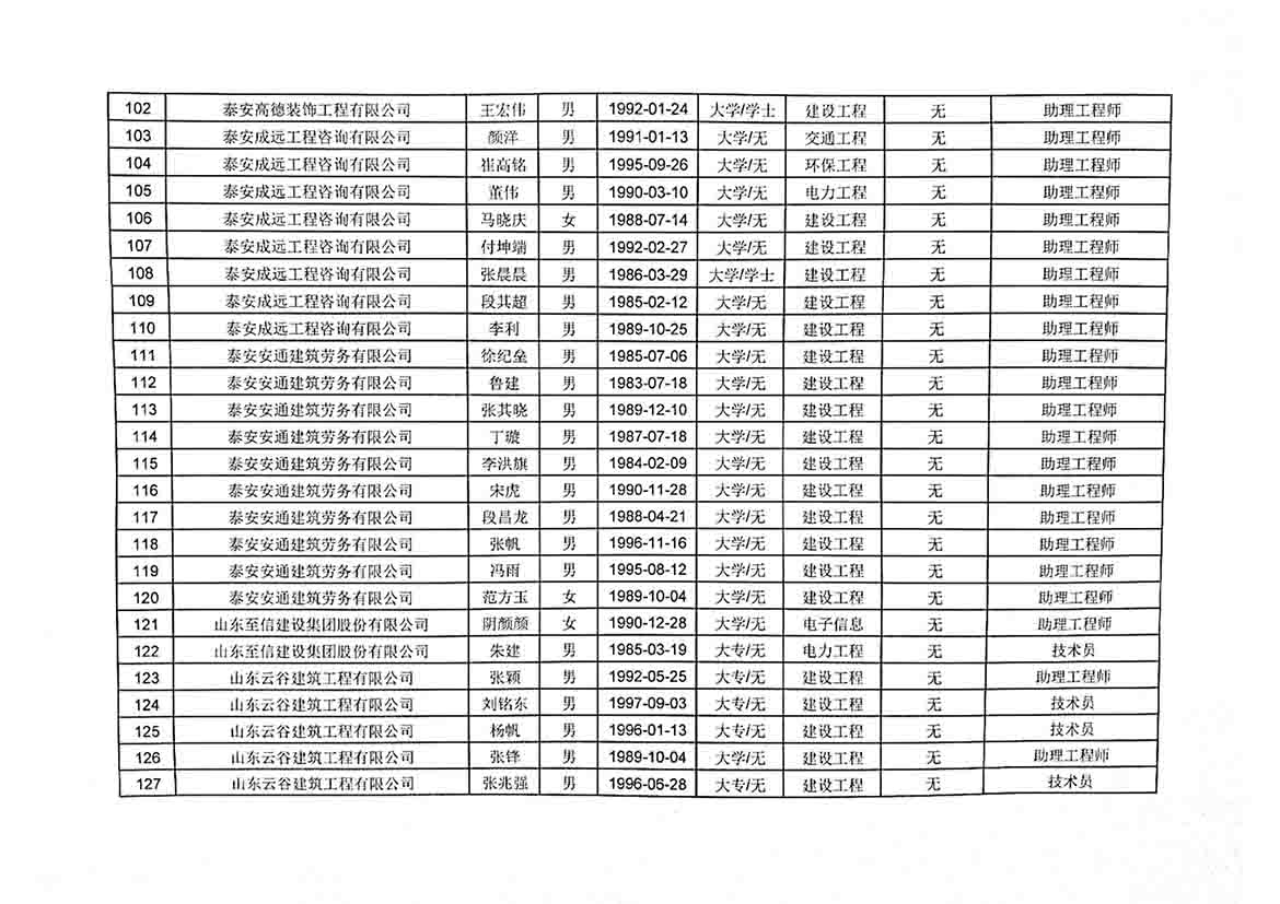
2020年度泰安市泰山区工程技术职务初级评审委员会评审通过人员情况公示通知
Copyright© 2021 All Rights Reserved
至信集团
备案号:鲁ICP备19048797号